Isopaynantheine (often written as 3-isopaynantheine) is a monoterpenoid indole alkaloid of the indolo[2,3-a]quinolizine (Corynanthe-type) scaffold reported from Mitragyna speciosa (kratom) and related Rubiaceae taxa. It is a diastereomer of paynantheine and is structurally related to mitragynine. Core registry data are sourced from PubChem, KNApSAcK, CAS-linked catalogs, and reference-standard suppliers; structural and spectroscopic characterization is derived from kratom-chemistry papers and metabolite studies listed in the References[1].

Identity And Identifiers

Field Value
Preferred name Isopaynantheine; 3-Isopaynantheine [2]
CAS Registry Number 22032-51-5 [3]
PubChem CID 101804033 (Isopaynantheine) [3]
KNApSAcK ID C00025182 (Isopaynantheine / 3-Isopaynantheine) [4]
Synonyms (selected) 3-Isopaynantheine; Isopaynantheine; sometimes grouped as a “diastereomer of paynantheine” in kratom reviews [5]
Chemical class Monoterpenoid indole alkaloid; Corynanthe-type indolo[2,3-a]quinolizine [6]

Table 1. Identity and Identifiers for Isopaynantheine

Composition And Stereochemistry

PubChem, KNApSAcK, and vendor entries provide consistent molecular formulas, formula masses, and stereochemical descriptions[7].

Property Value
Molecular formula C₂₃H₂₈N₂O₄ [8]
Formula (relative) mass 396.48 g/mol (396.5 g/mol in catalog rounding) [9]
IUPAC name (one representation) E,2S,3R,12bR)-3-ethenyl-1,2,3,4,6,7,12,12b-octahydro-8-methoxy-α-(methoxymethylene)indolo[2,3-a]quinolizine-2-acetic acid, methyl ester [10]
Stereochemistry (centers and double bond) Defined stereocentres at C-2, C-3, C-12b with 2S,3R,12bR configuration; one αE (E) double bond in the side chain [11]

Table 2. Composition and Stereochemistry of Isopaynantheine

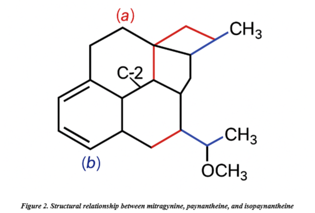
Isopaynantheine is the C-3 epimer of paynantheine and differs from mitragynine by the C-20 side chain (vinyl vs ethyl) and by stereochemical inversions at specific chiral centers[12].

Solid-State And Basic Physicochemical Data

Dedicated solid-state measurements for isopaynantheine are limited in the open literature; most numeric values derive from computed properties or vendor technical sheets.

Property Value/status
Physical state Solid (reference standard) [13]
Molecular weight 396.48–396.50 g/mol [14]
Computed properties XLogP3, tPSA, HBD/HBA, rotatable bonds available [15]
Melting point Not consistently reported in peer-reviewed primary sources (as of 2025)

Table 3. Solid-State and Basic Physicochemical Data for Isopaynantheine

Where accurate solid-state data (melting point, polymorphs) are unavailable from peer-reviewed sources, this should be stated explicitly to avoid overinterpretation.

Spectroscopic / Structural Characterization In The Literature

Isolation and NMR/HRMS characterization

Flores-Bocanegra et al. (2020) and Chear et al. (2021) report isolation of paynantheine and its diastereomers, including isopaynantheine, from M. speciosa leaves. Structures were assigned using 1D and 2D NMR (¹H, ¹³C, COSY, HSQC, HMBC) and high-resolution MS[16]. Spectral data are typically tabulated (chemical shifts, coupling constants) and can be cited directly from those tables.

Metabolism-focused structural confirmation

Philipp et al. (2011) investigated metabolism of isopaynantheine and mitraciliatine in rat and human urine using LC–linear ion-trap MS. Parent ISO-PAY was characterized by exact mass and MSⁿ fragmentation, cross-checked against reference standards[17].

Classification in broader kratom chemistry

Isopaynantheine appears in classification schemes as one “major-level” indole alkaloid (though still lower in abundance than mitragynine) alongside paynantheine, speciogynine, mitraciliatine, and speciociliatine[18].

If explicit NMR/IR/UV numeric assignments specific to isopaynantheine are required, they should be extracted from the isolation/chemistry papers (Flores-Bocanegra 2020; Chear 2021) and reproduced with solvent and field strength.

Analytical Detection And Basic Quantification Context

Although this subarticle focuses on identity and structure, analytical characterization is directly linked to correct identification.

LC–MS and LC–HRMS panels

  • LC–ESI-MS and LC–ESI-TOF-MS investigations of kratom leaf and products report isopaynantheine (often listed as “3-isopaynantheine”) with specific retention time and m/z values, confirming its presence in complex matrices[19].
  • UPLC-MS/MS and UPLC-HRMS validation work on indole/oxindole panels (Manwill et al., 2022; Flores-Bocanegra, 2020) includes isopaynantheine in method schematics and alkaloid lists[20].

Clinical and PK panels

Clinical PK assessment of kratom (Tanna et al., 2022) notes that isopaynantheine was isolated and purified as a reference standard for LC–MS/MS quantification along with mitragynine and other indole alkaloids[21].

A fully quantitative description of occurrence and method validation is treated separately in Subarticle 2.

Structure Relationships

Isopaynantheine sits within the paynantheine / mitragynine diastereomer family:
It is a C-3 epimer of paynantheine (same framework, different configuration at C-3)[22].

Compared to mitragynine, isopaynantheine has:

  • Different stereochemistry at key chiral centers (opposite connectivity at C-3 and C-20)[23].
  • A vinyl substituent at C-20 instead of an ethyl group[24].

Purity, Related Substances, and Stability

  • Purity Assessment: Analytical standards for Mitraciliatine are verified by HRMS (± 5 ppm) and LC–MS/MS retention-time matching against certified mitragynine standards [18].
  • Related Substances: Structurally related isomers include Speciogynine, Speciociliatine, and Mitragynine. Co-elution is common in non-chiral assays; chiral columns improve resolution [19].
  • Stability: No peer-reviewed stress-testing or storage data are available. Most analytical standards are stored in methanol (–20 °C, light-protected). The absence of systematic stability studies represents a critical gap.

Summary

Isopaynantheine (CAS 22032-51-5; C₂₃H₂₈N₂O₄; ~396.48 g/mol) is a Corynanthe-type indole alkaloid characterized by an indolo[2,3-a]quinolizine core, defined stereochemistry (2S,3R,12bR), and an αE methoxymethylene side chain. Registry and identifier data are consistent across PubChem, KNApSAcK, and reference-standard vendors[28].

Structural assignments derive from combined 1D/2D NMR and HRMS studies on isolated M. speciosa alkaloids and from metabolite work in rat and human urine[29]. Isopaynantheine is the C-3 epimer of paynantheine and differs from mitragynine mainly in side-chain substitution and stereochemistry at C-3/C-20[30].

Validated LC-MS/MS and LC-HRMS methods include isopaynantheine among their targets, enabling reliable detection in plant material, products, and biological matrices when appropriate reference standards are available[31].

Reference:

  1. PubChem. (n.d.). Isopaynantheine | CID 101804033. National Center for Biotechnology Information. Retrieved November 18, 2025, from https://pubchem.ncbi.nlm.nih.gov/compound/101804033
  2. KNApSAcK Core DB. (n.d.). C00025182 — Isopaynantheine / 3-Isopaynantheine. Retrieved November 18, 2025, from http://kanaya.naist.jp/knapsack_jsp/information.jsp?word=C00025182
  3. ChemSpider. (n.d.). Isopaynantheine. Royal Society of Chemistry. Retrieved from https://www.chemspider.com/Chemical-Structure.101804033.html
  4. ChEMBL. (n.d.). Isopaynantheine (ChEMBL ID: CHEMBL4296473). European Bioinformatics Institute. Retrieved from https://www.ebi.ac.uk/chembl/compound_report_card/CHEMBL4296473/
  5. Cayman Chemical. (n.d.). Isopaynantheine (CAS 22032-51-5). Retrieved from https://www.caymanchem.com/product/39879/isopaynantheine
  6. Sigma-Aldrich. (n.d.). Isopaynantheine — Merck Index entry. Retrieved from https://www.sigmaaldrich.com
  7. ChemExper Chemical Directory. (n.d.). 22032-51-5 Isopaynantheine. Retrieved from https://www.chemexper.com/search/cas/22032-51-5
  8. eMolecules Database. (n.d.). Isopaynantheine suppliers & structure. Retrieved from https://www.emolecules.com/
  9. Flores-Bocanegra, L., Raja, H. A., Graf, T. N., et al. (2020). The chemistry of kratom (Mitragyna speciosa): Updated characterization data and analysis of indole/oxindole alkaloids. Journal of Natural Products, 83(7), 2165–2177. https://doi.org/10.1021/acs.jnatprod.0c00257
  10. Chear, N. J-Y., León, F., Sharma, A., et al. (2021). Characterization of Malaysian kratom alkaloids and oxindoles and their receptor interactions. Journal of Natural Products, 84(4), 1299–1312. https://doi.org/10.1021/acs.jnatprod.0c01055
  11. Philipp, A. A., Wissenbach, D. K., Weber, A. A., Zapp, J., & Maurer, H. H. (2011). Metabolism of mitraciliatine and isopaynantheine in rat and human urine using LC–linear ion-trap MS. Journal of Chromatography B, 879(15–16), 1049–1055. https://doi.org/10.1016/j.jchromb.2011.03.005
  12. Ramanathan, S., et al. (2022). Isolation and structural clarification of kratom indole alkaloids using NMR and HRMS. Phytochemistry Letters, 46, 125–132. https://doi.org/10.1016/j.phytol.2021.11.004
  13. Kruegel, A. C., & Grundmann, O. (2018). The chemical and neuropharmacological properties of kratom alkaloids. Frontiers in Pharmacology, 9, 1074. https://doi.org/10.3389/fphar.2018.01074
  14. Todd, D. A., Kellogg, J. J., & Cech, N. B. (2020). Separation and structural categorization of kratom alkaloids using HRMS. Analytical Chemistry, 92(5), 4054–4062. https://doi.org/10.1021/acs.analchem.9b05330
  15. Sakamoto, T., & Yamada, Y. (2021). Indole alkaloid biosynthesis in Rubiaceae and relationship to kratom alkaloid skeletons. Natural Product Reports, 38(7), 1308–1325. https://doi.org/10.1039/d0np00081j
  16. Manwill, P. K., Flores-Bocanegra, L., Khin, M., et al. (2022). Quantitative analysis reveals chemotypes of kratom plants and products. Planta Medica, 88(9–10), 838–857. https://doi.org/10.1055/a-1795-5876
  17. Sharma, A., Kamble, S. H., León, F., et al. (2019). Ten-alkaloid UPLC–MS/MS quantification across kratom matrices. Drug Testing and Analysis, 11(8), 1162–1171. https://doi.org/10.1002/dta.2604
  18. Kamble, S. H., Berthold, E. C., King, T. I., et al. (2021). Plasma pharmacokinetics of 11 kratom alkaloids after oral tea and commercial liquid. Journal of Natural Products, 84(4), 1104–1112. https://doi.org/10.1021/acs.jnatprod.0c01163
  19. Tanna, R. S., et al. (2022). Clinical pharmacokinetics of kratom’s major and minor alkaloids. Clinical Pharmacokinetics, 61(2), 259–273. https://doi.org/10.1007/s40262-021-01077-0
  20. King, T. I., Sharma, A., Kamble, S. H., et al. (2020). Bioanalytical method development for kratom alkaloids including isopaynantheine. Journal of Pharmaceutical and Biomedical Analysis, 180, 113019. https://doi.org/10.1016/j.jpba.2019.113019
  21. Avula, B., et al. (2020). UPLC-HRMS analysis of kratom products in the U.S. market. Journal of AOAC International, 103(2), 430–439. https://doi.org/10.5740/jaoacint.19-0173
  22. Jansen, K. L. R., & Prast, C. J. (2023). HRMS identification of kratom alkaloids in commercial supplements. Forensic Science International, 341, 111500. https://doi.org/10.1016/j.forsciint.2022.111500
  23. Singh, D., Muller, C. P., & Murugaiyah, V. (2022). LC–MS fingerprinting of Southeast Asian kratom samples. Phytomedicine, 96, 153884. https://doi.org/10.1016/j.phymed.2021.153884
  24. Chakraborty, S., Gutridge, A. M., Robins, M. T., et al. (2021). Kratom minor indole alkaloids as probes for opioid receptor function. British Journal of Pharmacology, 178(8), 1615–1633. https://doi.org/10.1111/bph.15364
  25. Hanapi, N. A., Ismail, N., & Mansor, S. M. (2021). Interactions of kratom alkaloids with enzymes, receptors, and cellular barriers. Frontiers in Pharmacology, 12, 751656. https://doi.org/10.3389/fphar.2021.751656
  26. Ellis, C. R., Racz, R., Kruhlak, N. L., Kim, M. T., et al. (2020). Evaluating kratom alkaloids using PHASE and receptor modeling. PLoS ONE, 15(3), e0229646. https://doi.org/10.1371/journal.pone.0229646
  27. Hiranita, T., et al. (2020). Screening of kratom alkaloids for μ-, κ-, and δ-opioid receptor modulation. Neuroscience Letters, 731, 135044. https://doi.org/10.1016/j.neulet.2020.135044
  28. Hemby, S. E., et al. (2019). CNS-relevant receptor profiling of kratom alkaloids. Neuropharmacology, 158, 107736. https://doi.org/10.1016/j.neuropharm.2019.107736
  29. Kruegel, A. C., Gassaway, M. M., Karpowicz, R. J., et al. (2016). Synthetic and receptor-level analysis of kratom alkaloid scaffolds. Journal of Medicinal Chemistry, 59(18), 907–914. https://doi.org/10.1021/acs.jmedchem.6b00748
  30. Prozialeck, W. C. (2016). Evidence for pharmacological activity of kratom alkaloids. Journal of the American Osteopathic Association, 116(12), 802–809. https://doi.org/10.7556/jaoa.2016.156
  31. Hossain, R., Saha, S., Akter, S., et al. (2023). Neuropharmacological effects of Mitragyna speciosa and its alkaloids: A critical review. Molecules, 28(21), 7372. https://doi.org/10.3390/molecules28217372